Ayurveda PhD Entrance Exam Previous Years Question Papers,ayurveda pg entrance question papers,Ayurveda PG Entrance Exam,Sample question papers for Ayurveda,Ayurveda pg entrance Online Coaching
Ayurveda PhD Entrance Exam Previous Years Question Papers,ayurveda pg entrance question papers,Ayurveda PG Entrance Exam,Sample question papers for Ayurveda
Upcoming Events
|
PG Exam Papers
|
PG Exam Books
|
PSC Papers
|
Ph.D Exam Papers
|
Future Prospects
|
Diploma Courses
|
Ayurveda Jobs
|
Admission Notice
|
Contact Us
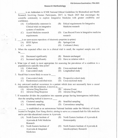
Ph.D Entrance Exam ITRA Research Methodology and Medical Statistics - A 2025 Test Paper
Ph.D Entrance Exam Paper
>>
ITRA Research Methodology and Medical Statistics - A 2025 Test Paper
ijapc.com
Manuscripts are invited for next Issue at
ijapc.com
Ayurvedic Books
Top Selling Books For PG Entrance Exam
Books on Ph.D Entrance Exam
Books on PSC Entrance Exam
Books on Research Paper
Books on Thesis Writing
Books on Yoga
Books on Panchkarma
Books on Panchkarma Clinical Practice
Books on Herbs and Medicines
Buy Ayurvedic Books Online
Online Store for Ayurvedic Books
Books on Charaka Samhita
Books on Susruta Samhita
Books on Ayurveda Cooking
Books on Ayurvedic Nutrition
Books on Medicinal Plants
Books For Ayurvedic Clinical Practice
Books For Nadi Pariksha
Books on Women Health
Books on Ayurvedic Dermatology
Books on Ksharsutra
Ayurveda Books on Obesity
Books on Best Deals
Features
Home
Dhanvantari Vandana
Associations of Ayurveda
Contact Us
Give Suggestion
Student Corner
PG Entrance Exam Papers
MCQs on Ayurveda
PG Entrance Exam Books
Study Material for Pre-PG Exam
PG Entrance Coaching
PG Entrance Exam Schedule
Job Recruitment Papers
Colleges Offering PG Course
Colleges Offering PhD
Ayurveda Institute Abroad
Future Prospects of Ayurveda
Diploma Courses in Ayurveda
Certificate Courses in Ayurveda
Fellowship Courses in Ayurveda
MBA in Pharmaceutical Mgt
Hospital Management Courses
Course in Clinical Research
Distance Learning Courses
Online Courses in Ayurveda
M.Phil in Ayurveda
Journals of Ayurveda & Medicinal Plants
Journals and Magazines
Thesis/Essay Competition
Ayurveda Notification
Articles by Ayurveda Professionals.
Preventive Ayurved
Ayurvedic Recipes
Ayurvedic Daily Regimen
Ayurveda Seasonal Regimen
Veterinary Ayurveda
Ayurveda Diet
Do's and Don'ts of Ayurveda
Ayurvedic Tips
Herbs to Boost Immunity
Yoga Postures
Health/Fitness Articles
Curative Ayurved
Ayurvedic Home Remedies
Ayurvedic Medicine for Children
Panchakarma Centres in India
Naturopathy Centres in India
Yoga Centres in India
Acupuncture Clinics
Ayurvedic Hospitals in India
Dr Yeshi Dhonden Cancer Clinic
Herbs and Medicinal Plants
Medicinal Plants and Their Uses
Sanskrit Names of Plants
English Names of Plants
Medicinal Plants Sellers India
Medicinal Plant Seeds Suppliers
Ayurvedic Medicinal Plants Info
Health Benefits of Medicinal Plants
Business Options
Top Ayurvedic Pharma Companies
Franchise Opportunities
Business Opportunities
Equipment Supplier
Cosmetic Manufacturing Companies
Ayurvedic Cosmetic Products
Ayurvedic Veterinary Medicine Manufacturer
All listed information on this site may or may not be accurate.
Disclaimer